我院郭光灿院士团队柳必恒研究组利用高维纠缠实现高效量子随机通信

近日,我院郭光灿院士团队柳必恒研究组与瑞典隆德大学Armin Tavakoli博士、瑞士日内瓦大学Jef Pauwels博士...

我院ATLAS实验组首次观测到矢量玻色子散射中的纵向极化自由度迹象

欧洲核子中心大型强子对撞机LHC上的ATLAS实验组近期在国际学术期刊《物理评论快报>》(Physical Review Let...

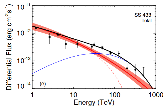
我院天文学系李剑特任教授团队在超大质量黑洞冕区的研究领域取得进展

由我院天文学系李剑特任教授与中国科学院高能物理研究所王建民研究员共同领导的国际合作团队,利用费米伽马...

中国科大物理学院官方宣传片《天工开物》——致敬物理人

中国科大物理学院官方宣传片“《天工开物》——致敬物理人”正式发布!虽物自天生,但工必开于我们……

学院要闻

更多+

通知公告

更多+

根据校党委统一部署,巡视组自2026年5月14日起对物理学院党委开展为期四周左右的常规巡视,现场巡视时间根据实际情况调整。巡视组将重点监督检查被巡视党组织学习贯彻习近平新时代中国特色社会主义思想和党中央决策...

查看全文>>>

值班日期值班人办公室办公电话2026年5月1日(周五)郝浛景物质科研楼C405636007712026年5月2日(周六)李旭物质科研楼C413636065482026年5月3日(周日)李蕾物质科研楼C413636011642026年5月4日(周一)邓引梅物质科...

查看全文>>>

为做好中国科大物理学院2026级硕博新生党员组织关系转入及党员发展的工作,请以下同学填写在线链接,相关信息请填写准确,谢谢!在线链接:https://docs.qq.com/form/page/DVkNIU3JkYmRUZnNp填写对象:1.物理学院26...

查看全文>>>

一、招生说明中国科学院东莞材料科学与技术研究所(以下简称:东莞材料所)依托中国科学技术大学(以下简称:中国科大)物理学院,招收物理学(0702)、光学工程(0803)、电子信息(0854)学位博士研究生,导师为东...

查看全文>>>

报告题目:Emerging platforms for rare earth based optical quantum technologies【可回放】

报 告 人 :Dr. Philippe Goldner(PSL University - CNRS)

报告时间:2026年4月9日10:00

报告地点:科大东区物质科研楼三楼报告厅

报告题目:物理世界的边界问题【可回放】

报 告 人 :王玉鹏 院士(中国科学院物理研究所)

报告时间:2026年3月19日16:00

报告地点:科大东区物质科研楼三楼报告厅

报告题目:宏观体系量子化:从量子电路到量子渡越【可回放】

报 告 人 :孙昌璞 院士(中国工程物理研究院)

报告时间:2026年3月18日16:00

报告地点:科大东区物质科研楼三楼报告厅

学院链接

› 物理系    › 近代物理系    › 光学与光学工程系    › 天文学系    › 工程与应用物理系    › 物理实验教学中心   

› 核探测与核电子学国家重点实验室    › 中科院量子信息重点实验室    › 中科院微观磁共振重点实验室    › 中科院强耦合量子材料物理重点实验室   

› 光电子科学与技术安徽省重点实验室        › 物理电子学重点实验室        › 粒子物理与原子核物理学科        › 交叉学科理论研究中心       

常用链接

› 中国科大主页      › 电子邮件      › 本科招生      › 研究生招生      › 优秀本科生创新研究计划      › 校友新创基金会      › 物理学报      › 中国物理B