我院郭光灿院士团队史保森、丁冬生研究组在冷里德堡原子气体中利用迟滞轨迹的翻转对微波场的敏感响应,实现了超越标准量子极限的微波测量,相关成果1月12日以“Quantum enhanced metrology based on flipping trajectory of cold Rydberg gases”为题发表在《自然·通讯》上。
由于里德堡原子具有较大的电偶极矩,可以对微弱的电场产生很强的响应,因此作为一个非常有前景的微波测量体系备受人们的青睐,在学术界和产业界取得了飞速发展。例如,美国陆军实验室实现了-145dBm/Hz的灵敏度,发展了基于里德堡原子的全频谱探测技术。尽管如此,基于里德堡原子的微波测量领域还存在很多科学问题有待解决,其中如何实现超高灵敏度的微波探测成为了人们研究的热点。

图1: (a) 原子能级图。(b)折叠迟滞轨迹和原子系综示意图。(c) 探测光正向和反向扫描过程中里德堡态的布局差。
近年来,史保森、丁冬生研究组利用冷里德堡原子体系,聚焦量子模拟和量子精密测量科学研究,已取得了系列重要进展。在本工作中,团队基于冷原子体系,利用里德堡多体系统中交叠的迟滞轨迹实现了量子增强传感。在先前工作的基础上[Nat. Commun. 16, 3511 (2025)],研究人员进一步在该系统中引入微波场,发现微波场的变化会使迟滞轨迹发生明显的交叠和翻转。其中迟滞轨迹由于能隙闭合点的出现而发生交叠,且能隙闭合点(奇异点)随微波场的变化产生非线性的相边界,因此追踪奇异点随微波场的变化可实现微波测量。实验中通过调控里德堡多体系统的相互作用改变相边界的陡峭程度,实现1.6(5)nV/cm/Hz1/2(-208.4±2.7dBm/Hz)的高灵敏度,超越了标准量子极限。

图2:(a)能隙相图的理论模拟。(a1)Liouvillian能谱和(a2)Liouvillian奇异点。(b)测量的迟滞轨迹变化相图。(c)轨迹交叠区域可分离透射谱。(d)-(f)测量的迟滞轨迹。
理论上,研究团队发现四能级里德堡原子系统存在粒子-空穴对称性,能隙闭合点(奇异点)的出现打破了对称性,将相图划分为对称和对称破缺相,其中由奇异点形成的相边界展现出对外场的非线性响应,如图2(a)所示。实验中原子间的相互作用引起的耗散随探测光强度和微波场的变化导致系列迟滞回线的出现。迟滞轨迹随微波场的变化经历了三个过程:顺时针→折叠→逆时针[图2(d)-(f)]。在轨迹交叠区域,迟滞轨迹交点处的透射谱完全分离,可以实现高灵敏度的微波探测。通过测量相边界随微波场幅度的变化[图3(a)-(h)],可获得系统的灵敏度。这项工作从多体非厄米理论到量子增强实验的实现,为量子领域的精密测量提供了新途径。

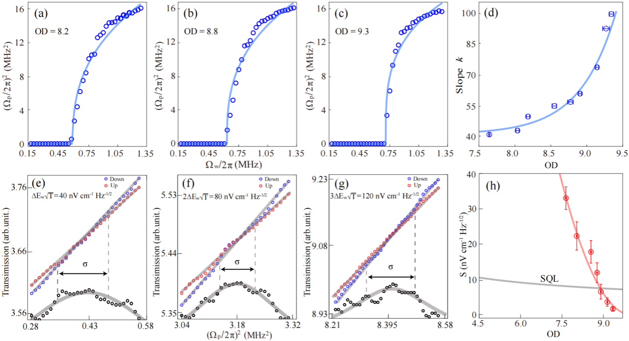
图3:(a)-(c)相边界随原子OD的变化。(d)相边界的斜率随原子OD的变化。(e)-(g)轨迹交点附近透射谱及不确定度。(h)系统灵敏度随原子OD的变化及标准量子极限(SQL)。
该工作得到了审稿人的高度评价:“这项极具价值且极具时效性的实验,其影响可从两个维度考量:(i) 展现量子系统在计量应用中的强大效能;(ii)实验观测到能隙闭合点与灵敏度提升之间的关联。” (“This is a very interesting and timely experiment whose impact can be considered in two directions: (i) demonstration of the power of quantum systems in metrological applications; and (ii) experimental observation for the connection between the gap closing and enhanced sensitivity.”)
中国科大博士研究生王雅君、张俊和张正源为本文的共同第一作者,丁冬生教授,张力华博士后和刘邦博士后为本文的共同通讯作者。该成果得到了科技部、基金委以及中国科学技术大学的资助。
文章链接:https://www.nature.com/articles/s41467-025-67921-z
(量子网络安徽省重点实验室、物理学院、中国科学院量子信息和量子科技创新研究院、科研部)